Java DTV API 1.0
12-Dec-2008

Package com.sun.dtv.net

Extends the java.net package with extensive communication device control.

See:
          Description

Interface Summary
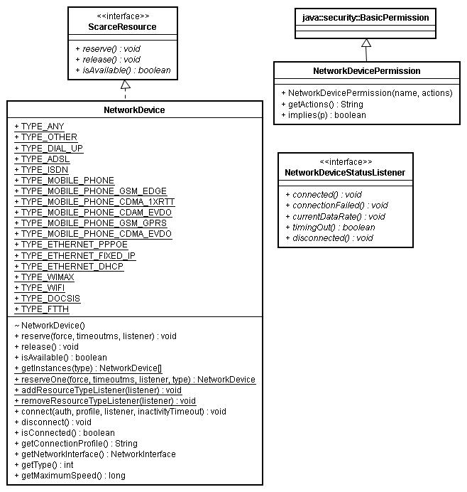
NetworkDeviceStatusListener Defines the listener interface for events related to network devices.
 

Class Summary
NetworkDevice Represents every physical instance of any network mean on which IP (TCP, UDP) communication can be achieved by the platform.
NetworkDevicePermission This class is used for various permissions related to the network device scarce resources.
 

Package com.sun.dtv.net Description

Extends the java.net package with extensive communication device control.

Description

Application are given tools to control the communication means that are available on the platform. By that, an application, when granted the corresponding access right, may discover the different network devices available, instantiate a connection to the internet or a service number. Such access may require specific connection parameters (e.g. username, password, device and network parameterization, network...) which all are available through this package:

The network device, being a scarce resource, underlies the permission system defined for scarce resource (see ScarceResourcePermission) where an application may be granted reserve and force rights.

Design

Since:
JavaDTV1.0

Java DTV API 1.0
12-Dec-2008

Copyright © 2008 Sun Microsystems, Inc., 4150 Network Circle, Santa Clara, California 95054, U.S.A. All rights reserved.

U.S. Government Rights - Commercial software. Government users are subject to the Sun Microsystems, Inc. standard license agreement and applicable provisions of the FAR and its supplements. Sun, Sun Microsystems, the Sun logo and Java are trademarks or registered trademarks of Sun Microsystems, Inc. in the U.S. and other countries.Products covered by and information contained in this service manual are controlled by U.S. Export Control laws and may be subject to the export or import laws in other countries. Nuclear, missile, chemical biological weapons or nuclear maritime end uses or end users, whether direct or indirect, are strictly prohibited. Export or reexport to countries subject to U.S. embargo or to entities identified on U.S. export exclusion lists, including, but not limited to, the denied persons and specially designated nationals lists is strictly prohibited.

DOCUMENTATION IS PROVIDED AS IS AND ALL EXPRESS OR IMPLIED CONDITIONS, REPRESENTATIONS AND WARRANTIES, INCLUDING ANY IMPLIED WARRANTY OF MERCHANTABILITY, FITNESS FOR A PARTICULAR PURPOSE OR NON-INFRINGEMENT, ARE DISCLAIMED, EXCEPT TO THE EXTENT THAT SUCH DISCLAIMERS ARE HELD TO BE LEGALLY INVALID.

Use of this document is subject to license terms.